今天是援助湖北的满月日,也是女王节,这个特殊的日子里,收到了我家小情人写的礼物,他歪歪扭扭的字里行间写出了对我的思念,不禁让我泪流满面…
两天前,是他8岁生日,这是第一次“没有”妈妈的生日,他说他过得很开心,有妈妈订的生日蛋糕,有惠方阿姨送的滑板,有大龙龙送的乐高,有哥哥姐姐…其实他是不想让我发现他的小失落。你是多么的懂事,小小的身体里,散发着满满的正能量。人生中总有无法预料的事情,就像这次疫情一样,42000余医护人员白衣为袍,迎难而上,舍小家为大家,为了一个共同的目标,那就是战胜新冠病毒。慈母手中线,游子身上衣,临行密密缝,意恐迟迟归。这是对我的考验,也有利于你的成长。妈妈希望你成为一个善良,勇敢,有担当的小男子汉。妈妈定不卑不亢,不慌不忙,不负韶华,温暖阳光!
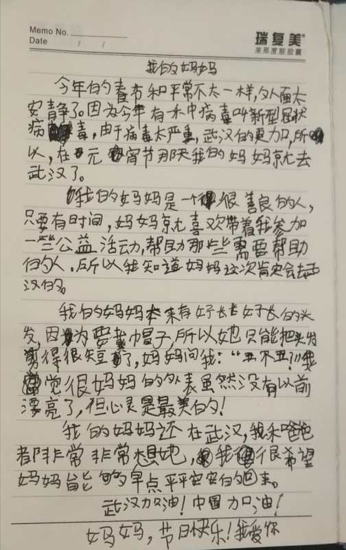
我的妈妈
今年的春节和平常不太一样,外面太安静了。因为今年有一种病毒叫新型冠状病毒,由于病毒太严重,武汉的更加,所以,在元宵节那天我的妈妈就去武汉了。
我的妈妈是一个很善良的人,只要有时间,妈妈就喜欢带着我参加一些公益活动,帮助那些需要帮助的人。所以我知道妈妈这次肯定会去武汉的。
我的妈妈本来有好长好长的头发,因为要戴帽子,所以她只能把头发剪得很短了,妈妈问我:“丑不丑?”我觉得妈妈的外表虽然没有以前漂亮了,但心灵是最美的!
我的妈妈还在武汉,我和爸爸都非常非常想她,我很希望妈妈能够早点平平安安的回来。武汉加油!中国加油!妈妈,节日快乐!我爱你。
刘丹
3月8日于武汉
[上一篇] 新湘雅时评: 一手抓疫情防控 一手抓医院发...
[下一篇] 【科室家书】心中有大爱,到处都发光 ——记...
人民网 | 新华网 | 中华人民共和国国家卫生健康委员会 | 中华人民共和国教育部 | 湖南省政府 | 红网 | 湖南省卫生健康委员会 | 湖南省教育厅 | 中南大学 | 湘雅医学院 | 湘雅医院 | 湘雅二医院 | 协和医院 | 华西医院 | 西京医院 | 瑞金医院 | 复旦中山医院 | 武汉同济医院 | 中山医院
医院地址:湖南省长沙市河西岳麓区桐梓坡路138号 中南大学湘雅三医院 版权所有
湘教QS3-200505-000574 备案序号:湘ICP备05001139号 今日访问人数:242652 总访问人数:556754902